Society Share Certificate Transfer Letter Format - Letter to society for transfer share certificate?
Original Resolution: 971x1600 px
Housing Society Maharashtra Transfer Set - To write a letter to transfer a share certificate first find the name and address of the financial institution that holds the share certificate.
Original Resolution: 768x1024 px
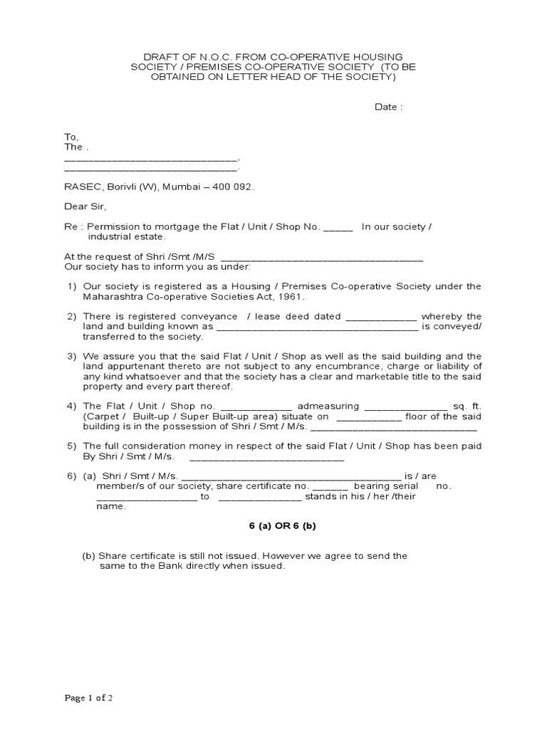
Draft Of Noc To Society Loans Mortgage Loan - Please help with the letter format.
Original Resolution: 768x994 px
Noc Format Business - Please help with the letter format.
Original Resolution: 380x250 px
Transfer Of Shares In A Society A Case Study Of Maharashtra Ownership Of Flats Act 1963 Ipleaders - Read our guide to limited company share certificates, which explains when they must be issued and what information to include on each share certificate.
Original Resolution: 448x170 px
Step By Step Guide To Obtain Duplicate Share Certificates - You will receive it in word and pdf formats.
Original Resolution: 1804x380 px
Nominee Transfer Of Shares In Co Operative Housing Society Maharashtra Chs Act - Download share certificate format for a company in india.
Original Resolution: 770x1024 px
Nomination Form For Society Fill Online Printable Fillable Blank Pdffiller - An application letter for a transfer certificate formally informs the relevant authority that you are unable to continue with studies in the current school.
Original Resolution: 649x505 px
Sbi Noc Format 2020 2021 Eduvark - *a letter of consent of the proposed transferee to transfer the shares and interest of existing.
Original Resolution: 476x594 px
Society Share Certificate Lost Ads Starts 890 - Get the name of the principal correctly and address him or her respectfully.
Original Resolution: 971x1600 px
Housing Society Maharashtra Transfer Set - You will be able to modify it.
Original Resolution: 1200x630 px
Housing Society Maharashtra Transfer Set - You will receive it in word and pdf formats.
Original Resolution: 1275x1650 px
Format Of No Objection Certificate For Water Connection Legal News Law News Articles Free Legal Helpline Legal Tips Legal India - The surroundings, your workplace, shopping complex, and other emergency visiting places make you habitual to them and also become a part of your daily life.
Original Resolution: 1024x489 px
Share Certificate Franking And Stamping - A transfer letter is also a kind of business letter which is mostly used to let the employee know that he has been transferred from one location to another or this is the reason why we have come up with a standard letter format and sample so that it becomes easier for you to understand how to write and.
Original Resolution: 800x448 px
Everything About Housing Society Share Certificate Mygate - You write a letter to the head of institution/principal explaining the reasons why you are seeking transfer.
Original Resolution: 710x843 px
Request Letter From Society For Noc For Mortgage Loan From Bank - Writing an application for issuing transfer certificate(tc).
Original Resolution: 298x386 px
Request Letter To Society For Share Certificate Fill Online Printable Fillable Blank Pdffiller - A transfer letter is also a kind of business letter which is mostly used to let the employee know that he has been transferred from one location to another or this is the reason why we have come up with a standard letter format and sample so that it becomes easier for you to understand how to write and.
Original Resolution: 470x1420 px
Society Share Certificate Lost Ads Starts 890 - 20+ transfer request letter and transfer offer letter samples.
Original Resolution: 1200x491 px
Share Transfer Procedure Involved Time Limits Penalties - However, sometimes in life, be it a personal or professional reason there comes.
Original Resolution: 1260x1774 px
You Can See This Valid Noc Letter Format For Bank Loan At Http Creativecommunities Co 2017 12 02 Noc Lett Lettering Transfer Letter Format Company Letterhead - 20+ transfer request letter and transfer offer letter samples.